±³À°°úÁ¤ ³ªÀÇÇнÀ ¿ÀÇǽºÆÁ °Ë»ö ¹«·á°­ÁÂ
Home ·Î±×ÀΠȸ¿ø°¡ÀÔ °í°´¼¾ÅÍ »çÀÌÆ®¸Ê
¿ÀÇǽºÆ©ÅÍ ±â¾÷ASP¼­ºñ½º > ¹«·á°­ÁÂ
¿¢¼¿ 2000 µû¶óÇϱâ
Ȩ·¯´× ¿¢¼¿ 2000°­ÁÂ
À繫 ÇÔ¼ö °­ÁÂ
¿¢¼¿ 2002 »õ·Î¿î ±â´É
Ȳ±â¼º´ÔÀÇ VBA°­ÁÂ
°û½ÂÁÖ´ÔÀÇ VBAÀ̾߱â
Home > ¹«·á°­Á > ¿¢¼¿
¿ÀÇǽº Æ©ÅÍ ÀÏÀÏ °­Á - ¿¢¼¿ À繫 ÇÔ¼ö °­ÁÂ

5ÀÏ. IRR()ÇÔ¼ö


¿À´Ãµµ ¾È³çÇϼ¼¿ä ^^

Áö³­ ½Ã°£¿¡ ÀÌ¾î ¿À´ÃÀº ³»ºÎ¼öÀÍ·ü¹ý(IRR)ÀÇ °³³ä°ú IRR()ÇÔ¼ö¿¡ ´ëÇØ °øºÎÇØº¸°Ú½À´Ï´Ù.

 ¾î´À ÅõÀÚ¾ÈÀÇ °æÁ¦¼º(Áï À̰е·µÇ´Â ÀÏÀΰ¡ ¾Æ´Ñ°¡¡¦)À» Æò°¡Çϴµ¥´Â ¿©·¯ ¹æ¹ýÀÌ ÀÖ½À´Ï´Ù. ±¸Ã¼ÀûÀ¸·Î ȸ°èÀû ÀÌÀÍ·ü¹ý, ȸ¼ö±â°£¹ý ±×¸®°í ¾Õ¼­ ¹è¿î NPV(¼øÇö°¡¹ý)³ª À̹ø¿¡ ¹è¿ï IRRµîÀÌ ÀÖ½À´Ï´Ù.

IRR(values,guess)

1. IRRÇÔ¼ö¶õ?

³»ºÎ¼öÀÍÀ²(Internal Rate of Return : IRR)À̶õ ÅõÀÚ¿¡¼­ ±â´ëµÇ´Â Çö±ÝÀ¯ÀÔÀÇ Çö°¡¿Í Çö±ÝÀ¯ÃâÀÇ Çö°¡¸¦ °°°Ô ÇÏ´Â ÇÒÀÎÀ²ÀÔ´Ï´Ù. Áï µé¾î¿Ã ¹Ì·¡ÀÇ Çö±Ý°ú ³ª°¡´Â Çö±ÝÀÇ °¡Ä¡¸¦ ÀÏÄ¡½ÃÄÑÁÖ´Â ÇÒÀÎÀ²À» ã´Â °ÍÀÌÁÒ. ±×·¯¹Ç·Î IRR()ÇÔ¼ö¸¦ »ç¿ëÇÏ¸é ¾ò¾îÁö´Â °ÍÀº ~%¶ó´Â °á°ú¸¦ ¾ò°Ô µÇ°ÚÁÒ.

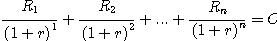
À§ÀÇ ¼ö½Ä¿¡¼­ º¸¸é R1 , R2  ,¡¦, RnÀÌ Çö±ÝÀ¯ÀÔÀ̸ç C´Â ÇöÀç½ÃÁ¡¿¡¼­ÀÇ Çö±ÝÀ¯ÃâÀÔ´Ï´Ù. À̶§ ¿ì¸®°¡ ±¸ÇϰíÀÚ ÇÏ´Â °ÍÀº rÀÔ´Ï´Ù. ÀÌ·± °íÂ÷¿ø ¹æÁ¤½ÄÀ» r¿¡ ´ëÇØ Á¤¸®ÇÒ ¼ö´Â ¾øÀ¸¹Ç·Î Åë»óÀûÀ¸·Î´Â ¼öÄ¡ÇØ¼®ÀûÀÎ ¹æ¹ýÀ¸·Î ±¸ÇÕ´Ï´Ù. ¾Æ¸¶ ¿¢¼¿µµ ±×·± ¹æ½ÄÀ¸·Î ÇØ¸¦ ±¸ÇÒ °ÍÀ¸·Î »ý°¢µË´Ï´Ù.

2.¸Å°³º¯¼ö

- values
³»ºÎ¼öÀÍ·üÀ» ±¸Çϱâ À§ÇÑ ¼öÄ¡µ¥ÀÌŸ°¡ ÀÔ·ÂµÈ ¹è¿­ ¶Ç´Â ¼¿ÀÇ ÁÖ¼ÒÀÔ´Ï´Ù. NPV¿Í´Â ´Þ¸® Á÷Á¢ ¼öÄ¡¸¦ Äĸ¶·Î ±¸ºÐÇÏ¿© ³ÖÁö ¾Ê½À´Ï´Ù.

- guess
¿É¼ÇÀ¸·Î¼­ IRR°è»ê½Ã¿¡´Â ¹Ýº¹ÇÏ¿© °ªÀ» ³Ö¾îº¸°í Ʋ¸®¸é ´Ù½Ã ³Ö´Â ¹æ½ÄÀε¥ À̸¦ ÁöÁ¤Çϸé guess¿¡¼­ ½ÃÀÛÇÏ¿© °á°ú°¡ 0.00001% À̳»ÀÇ ¿ÀÂ÷ ¹üÀ§¿¡ µé¾î¿Ã ¶§±îÁö ¹Ýº¹ÇÕ´Ï´Ù. 20¹ø ÀÌ»ó ¹Ýº¹ ÈÄ¿¡µµ °á°ú°ªÀ» ãÁö ¸øÇÏ´Â °æ¿ì #NUM! ¿À·ù°ªÀ» Ç¥½ÃÇÕ´Ï´Ù. Åë»ó »ç¿ëÇÏÁö ¾Ê½À´Ï´Ù.

3.¿¹ 

¿¢¼¿µµ¿ò¸»ÀÇ ¿¹¸¦ º¸½ÃÁÒ. ½Ä´çÀ» °³¾÷ÇÑ´Ù°í °¡Á¤ÇÒ ¶§, »ç¾÷À» ½ÃÀÛÇϴµ¥ £Ü7,000,000°¡ ¼Ò¿äµÇ¸ç 5³â »çÀÌ¿¡ £Ü1,200,000, £Ü1,500,000,£Ü1,800,000, £Ü2,100,000, £Ü2,600,000ÀÇ ¼øÀÌÀÍÀ» ±â´ëÇÕ´Ï´Ù. B1:B6¿¡´Â °¢°¢ £Ü-7,000,000, £Ü1,200,000, £Ü1,500,000, £Ü1,800,000, £Ü2,100,000, £Ü2,600,000ÀÌ ÀúÀåµË´Ï´Ù.

4³â ÈÄÀÇ ÅõÀÚ ³»ºÎ ¼öÀÍÀ²À» ±¸ÇÏ¸é ´ÙÀ½°ú °°½À´Ï´Ù.
IRR(B1:B5) = -2.12 %

5³â ÈÄÀÇ ³»ºÎ ¼öÀÍÀ²À» ±¸ÇÏ¸é ´ÙÀ½°ú °°½À´Ï´Ù.
IRR(B1:B6) = 8.66 %

2³â ÈÄÀÇ ³»ºÎ ¼öÀÍÀ²À» ±¸ÇÏ·Á¸é guess¸¦ ÁöÁ¤ÇÕ´Ï´Ù.
IRR(B1:B3,-10%) = -44.35 %

4. NPV¿ÍÀÇ °ü°è

°¡Àå Èï¹Ì·Î¿î ´ë¸ñÀÔ´Ï´Ù. IRR ÇÔ¼ö´Â ¼ø ÇöÀç °¡Ä¡ ÇÔ¼ö NPV¿Í ¹ÐÁ¢ÇÑ °ü°è°¡ ÀÖ½À´Ï´Ù. IRR¿¡ ÀÇÇØ °è»êµÇ´Â ³»ºÎ ¼öÀÍ·üÀº ¼ø ÇöÀç °¡Ä¡ 0¿¡ ÇØ´çÇÏ´Â ÀÌÀ²ÀÔ´Ï´Ù. Áö³­ ½Ã°£ÀÇ µÎ ¹øÂ° ¿¹¸¦ ÇÑ ¹ø º¸ÁÒ. °Å±â¿¡¼­ Çö±ÝÈ帧Àº -1000000, 300000,420000,680000À̾ú½À´Ï´Ù. ÀÌ´Â R1,R2µîÀÇ Çö±ÝÈ帧ÀÌÁÒ. ±×¸®°í ±×¶§ÀÇ Çö°¡´Â 118844À̾ú½À´Ï´Ù. ÀÌ´Â irr¿¡¼­´Â C¿¡ ÇØ´çÇÏÁÒ. ¾Æ·¡ÀÇ ¼ö½ÄÀ» Çѹø º¸½ÃÁÒ

óÀ½ ¼Ò°³ÇÑ IRR½Ä°ú ºñ±³Çϸé Â÷À̰¡ ¾ø½À´Ï´Ù. Áï

ÀÔ´Ï´Ù.

À̸¦ IRRÇÔ¼ö·Î Ç¥ÇöÇÏ¸é ´ÙÀ½°ú °°½À´Ï´Ù.
B3:B7¿¡ -118844,-1000000,300000,420000,680000ÀÌ ÀԷµǾî ÀÖ´Ù¸é
=IRR(B3:B7)=10.00%

NPV¿Í IRRÀÇ °ü°è¸¦ ¾Ë·ÁÁÖ´Â ¶ÇÇϳªÀÇ ¿¹´Â µµ¿ò¸»¿¡ ÀÖ½À´Ï´Ù.
NPV(IRR(B1:B6),B1:B6) = 3.60E-08
(IRRÀÇ Çã¿ë ¿ÀÂ÷ ¹üÀ§¸¦ °í·ÁÇϸé 3.60E-08 °ªÀº ½ÇÁ¦·Î 0ÀÔ´Ï´Ù.)
°°Àº Çö±ÝÈ帧À» °¡Áö°í ±¸ÇÑ ÇÒÀÎÀ² ÁïIRR(B1:B6)À¸·Î NPV¸¦ ÇÒÀÎÇÏ¿© °è»êÇÑ´Ù¸é 0ÀÌ ³ª¿É´Ï´Ù.

Áö³­ ½Ã°£±îÁö´Â ¼öÀÛ¾÷°ú ¿¢¼¿Æã¼Ç°úÀÇ ºñ±³¸¦ À§ÇØ ºÎ·ÏÀ¸·Î ¿¢¼¿ÆÄÀÏÀ» µÎ¾ú´Âµ¥ ¿À´ÃÀº ÇÔ¼öƯ¼º»ó ¾öµÎ°¡ ³ªÁú ¾Ê´Â±º¿ä. ÇÔ¼ö¸¦ »ç¿ë¾Ê´Â´Ù¸é ¹Ýº¹ÀûÀÎ ¼öÄ¡ÇØ¼®ÀýÂ÷°¡ ÇÊ¿äÇѵ¥, ÀÌ´Â À繫ÇÔ¼öÀÇ ¹üÀ§´Â ¹þ¾î³ª±â ¶§¹®ÀÌÁÒ.

¿À´ÃÀº ¿©±â±îÁöÀÔ´Ï´Ù.

ÀÌÀü | ¸ñÂ÷ | ´ÙÀ½

¡¡

¿ÀÇǽºÆ©ÅÍ ±â¾÷ASP¼­ºñ½º 135-880 ¼­¿ï½Ã °­³²±¸ »ï¼ºµ¿ 157-3 ¿¤ÁöÆ®À©ÅÚ 2Â÷ 1603È£ ¢Ï070-7098-2554
Copyright ¨Ï 1999-2008 Officetutor.com All rights reserved
¡¡